Resources

EXPLORE

AI platforms for fire detection in raw material yard
How Does Smoke or Fire in RMHS Trigger Conveyor and Material Flow Stoppage?
Fire and smoke incidents in the Raw Material Handling System (RMHS) represent a significant operational risk that can quickly...
Moisture analysis
How Do Variations in Coal and Coke Size and Moisture Disrupt Process Stability and Efficiency in Steel Plants?
In modern steel plants, operational stability depends not only on equipment performance and automation but also on the consistency...

About Us

Get to know who we are and what we stand for.

Discover what makes Ripik.AI uniquely effective.

Explore our culture, values, & work environment.

Find out what's making headlines from Ripik.AI

Ripik AI public event appearances worldwide

Success Stories

Industries

Low variability and Zero Downtime - Smarter Steel

Uniform Raw materials, Smarter Clinker, Healthier Kilns

Safe. Stable. AI Eyes on Every Batch.

Zero Downtime, High Yield, AI-Driven Vision

Powering Uptime with Visual Intelligence.

AI Agents for Smarter Industrial Ops

Products

Real-time camera intelligence to monitor materials, equipment, and processes, driving efficiency and consistency in industrial operations.

Hosts and manages hundreds of Vision AI Agents, enabling you to customize, deploy, and scale real-time monitoring solutions instantly across operations.

Curious how Vision AI fits into your operations?

Let us walk you through a tailored demo experience.

Industries

Low variability and Zero Downtime - Smarter Steel

Uniform Raw materials, Smarter Clinker, Healthier Kilns

Safe. Stable. AI Eyes on Every Batch.

Zero Downtime, High Yield, AI-Driven Vision

Powering Uptime with Visual Intelligence.

AI Agents for Smarter Industrial Ops

Resources

EXPLORE

AI platforms for fire detection in raw material yard
How Does Smoke or Fire in RMHS Trigger Conveyor and Material Flow Stoppage?
Fire and smoke incidents in the Raw Material Handling System (RMHS) represent a significant operational risk that can quickly...
Moisture analysis
How Do Variations in Coal and Coke Size and Moisture Disrupt Process Stability and Efficiency in Steel Plants?
In modern steel plants, operational stability depends not only on equipment performance and automation but also on the consistency...

About Us

Get to know who we are and what we stand for.

Discover what makes Ripik.AI uniquely effective.

Explore our culture, values, & work environment.

Find out what's making headlines from Ripik.AI

Ripik AI public event appearances worldwide

Success Stories

Products

Vision AI Agents

Real-time camera intelligence to monitor materials, equipment, and processes, driving efficiency and consistency in industrial operations.

Ripik Vision Platform

Hosts and manages hundreds of Vision AI Agents, enabling you to customize, deploy, and scale real-time monitoring solutions instantly across operations.

Curious how Vision AI fits into your operations?

Let us walk you through a tailored demo experience.

Understanding Root Mean Square Error (RMSE): Enhancing Predictive Model Performance in Real-World Applications

Introduction

calculate RMSE

Predictive modeling plays a crucial role in data science, empowering businesses to make data-driven decisions. However, the success of these models heavily depends on their accuracy. One widely used metric to evaluate the performance of a machine learning model is the Root Mean Square Error (RMSE) — a powerful tool for measuring prediction errors. RMSE measures the average difference between predicted and actual values, emphasizing its role in quantifying model accuracy.

In this blog, we will explore RMSE in detail, covering its definition, calculation steps, ideal ranges, and strategies to improve model performance. Whether you’re a data scientist or an industry professional, understanding RMSE is vital for developing accurate predictive models.

What is Root Mean Square Error (RMSE)?

RMSE is a standard metric used to measure the average magnitude of errors between predicted and actual values. RMSE is closely related to Mean Squared Error (MSE), which is another important metric for evaluating model accuracy. It effectively penalizes larger errors by squaring them, making it particularly useful in applications where significant deviations must be minimized.

Key Characteristics of RMSE

  • RMSE values are always non-negative, with 0 representing a perfect model.
  • RMSE is expressed in the same units as the target variable, aiding intuitive interpretation.
  • Larger RMSE values indicate greater prediction errors, requiring model refinement.

Why RMSE is Preferred in Regression Models

RMSE is commonly used in regression models because:

  • It effectively highlights large errors, which can be critical in fields like manufacturing, healthcare, and finance.

  • Unlike metrics such as Mean Absolute Error (MAE), RMSE amplifies outliers, making it ideal for scenarios where minimizing significant deviations is essential.

How to calculate RMSE Formula and Step-by-Step Calculation

calculate RMSE

The formula for RMSE is as follows:

Where:

  • y(i)= Actual value
  • y^(i)= Predicted value
  • N = Number of data points
  • The mean of the squared differences between the predicted and actual values is calculated before taking the square root. This step ensures that the metric is expressed in the same unit as the target variable, making it easier to interpret. RMSE effectively penalizes larger errors, making it a valuable metric for assessing prediction accuracy.

Step-by-Step Guide to Calculate RMSE

  • Collect Actual and Predicted Values: Gather both sets of data for comparison.

  • Compute Residuals: Calculate the difference between each actual value and its corresponding predicted value.

  • Square Each Residual: Squaring each residual ensures all errors are positive, similar to taking the absolute value, and emphasizes larger errors.

  • Calculate the Mean of Squared Errors: Sum the squared residuals and divide by the number of data points.

  • Compute the Square Root of the Mean: Taking the square root brings the RMSE value back to the original data’s scale.

Example Calculation

Actual Values: [5, 7, 10, 12]
Predicted Values: [4, 8, 9, 11]

Step 1: Compute Residuals:

calculate RMSE

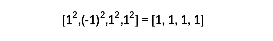
Step 2: Square Each Residual

calculate RMSE

Step 3: Compute Mean of Squared Residuals

calculate RMSE

Step 4: Take the Square Root

calculate RMSE

Final RMSE Value: 1

What is a Good RMSE?

calculate RMSE

Determining what qualifies as a “good” RMSE (Root Mean Square Error) value is not always straightforward. Since RMSE is an absolute error metric that reflects the average deviation between predicted and actual values, the interpretation of what constitutes a "good" RMSE depends heavily on the dataset's characteristics, data distribution, and industry-specific standards.

Instead of relying on a fixed threshold, RMSE should be assessed in context. Below are key factors that influence acceptable RMSE values and practical examples for various industries.

Key Factors Influencing RMSE

  • Dataset Size: Larger datasets often have greater variability, which can lead to higher RMSE values. In such cases, a slightly higher RMSE may still be acceptable if the model captures underlying patterns effectively.

  • Data Range and Scale: RMSE should be interpreted relative to the data’s magnitude. For instance, an RMSE of 10 may be acceptable for values in the thousands but significant for values in the tens.

  • Industry Benchmarks: Each industry has different tolerances for error. Predictive maintenance models in manufacturing may require tighter RMSE control compared to financial forecasting models, where some fluctuation is expected.

Examples of ideal RMSE ranges in different industries

  • Manufacturing: Predictive maintenance models may aim for an RMSE below 5% of the target variable’s range to ensure accurate equipment monitoring.

  • Finance: Stock price prediction models may target an RMSE within 2% of the average stock value to account for market volatility.

  • Healthcare: Diagnostic models often strive for an RMSE below 3-5 units to ensure precise outcomes in sensitive medical predictions.

Improving Model Performance by Reducing RMSE

Reducing RMSE is essential for improving model accuracy. Here are key strategies to achieve this:

Data Cleaning and Handling Outliers

Data cleaning is crucial for improving RMSE, as data inconsistencies, errors, or noise can significantly affect model performance. Outliers, which RMSE penalizes heavily, can distort results by significantly affecting the squared error. Identifying and removing them using methods like IQR, Z-score analysis, or box plots can enhance accuracy.

Addressing missing data is equally important. Techniques such as mean/median imputation, forward filling, or predictive modeling help maintain data continuity and reduce RMSE. Improving data quality ensures more reliable model predictions.

Feature Engineering

Feature engineering enhances model performance by creating new features or transforming existing ones to capture complex data patterns. For instance, adding lag variables or moving averages in time-series forecasting can improve trend and seasonality detection, reducing RMSE.

Transforming variables using techniques like log transformations, polynomial features, or scaling can reveal hidden relationships, further improving predictive accuracy. Effective feature engineering directly contributes to achieving lower RMSE values.

Hyperparameter Tuning

Hyperparameter tuning plays a key role in improving model accuracy by adjusting parameters like learning rates, tree depths, or regularization strengths. Optimizing these settings helps balance model complexity, reducing both underfitting and overfitting.

Techniques such as grid search, random search, and Bayesian optimization effectively identify the best parameter combinations to minimize RMSE and enhance model performance.

Ensemble Models

Ensemble methods enhance prediction accuracy by combining multiple models like Random Forest, GBM, and XGBoost. By aggregating weak learners, these techniques improve robustness and reduce individual model weaknesses. This approach effectively captures complex data patterns, lowering RMSE and boosting performance, especially in noisy or variable data scenarios.

Cross-Validation

Cross-validation is a valuable method for evaluating model performance. In k-fold cross-validation, the dataset is divided into k parts, with the model training on k-1 folds and testing on the remaining fold. This process repeats k times to ensure every data point is assessed. By reducing overfitting and providing a reliable performance estimate, cross-validation helps identify the optimal model configuration to minimize RMSE.

RMSE vs. Other Evaluation Metrics

Selecting the right evaluation metric is crucial for assessing model performance. While RMSE is widely used, other metrics like MAE and R-squared offer complementary insights. Understanding when to use each metric helps achieve more accurate and reliable predictions.

RMSE vs. MAE: When to use each metric

Root Mean Square Error (RMSE) and Mean Absolute Error (MAE) both measure prediction errors but have key differences:

  • RMSE penalizes larger errors more heavily due to squaring each error term. This makes RMSE ideal when significant deviations in predictions need to be minimized, such as in manufacturing equipment failure forecasts where extreme errors can be costly.
  • MAE treats all errors equally, making it more robust against outliers. It’s preferred when you want a straightforward average of prediction errors without emphasizing extreme values.

When to Use:

  • Use RMSE when large errors are critical and need greater attention.
  • Use MAE when you need a balanced view of all prediction errors without bias toward extreme values.

RMSE vs. R-Squared: Understanding Correlation Alongside Error Measurement

R-squared (R²) measures the proportion of variance explained by the model, indicating how well the independent variables predict the target variable. While RMSE quantifies the size of prediction errors, R² highlights the model’s overall fit.

  • RMSE is best for understanding the actual error size in the same unit as the target variable.

  • R² is useful for assessing the strength of the relationship between variables.

When to Use:

  • Use RMSE to measure prediction accuracy directly.

  • Use R² to evaluate how well the model explains the variation in data. Combining both metrics offers a more comprehensive evaluation.

Combining RMSE with Other Metrics for Comprehensive Evaluation

Root mean squared error (RMSE) combined with other metrics provides deeper insights into model performance:

  • Pair RMSE with MAE to assess both average error size and the impact of large deviations.

  • Combine RMSE with R² to understand both error magnitude and model fit.

  • Add metrics like Mean Absolute Percentage Error (MAPE) for percentage-based accuracy or Mean Squared Logarithmic Error (MSLE) for models dealing with exponential growth data.

By integrating multiple metrics, you can identify weaknesses, improve model robustness, and make informed decisions about performance improvements.

Real-World Applications of RMSE

calculate RMSE

RMSE plays a crucial role in evaluating and improving predictive models across various industries. Its ability to measure prediction errors effectively makes it a valuable metric for ensuring model accuracy. Here’s a closer look at its applications in key sectors:

Manufacturing

In manufacturing, RMSE is essential for enhancing predictive maintenance models. These models forecast equipment failures by analyzing sensor data, machine performance metrics, and historical maintenance records. Lower RMSE values indicate more precise predictions, enabling manufacturers to schedule maintenance proactively, reducing unplanned downtime and minimizing repair costs.

For instance, in steel manufacturing, predictive models that monitor furnace temperatures or conveyor belt speeds can use RMSE to assess their reliability. By reducing RMSE, manufacturers improve production efficiency and extend equipment lifespan.

Finance

In the finance sector, RMSE is widely used in credit scoring, fraud detection, and stock price prediction models. For example, stock market prediction models use RMSE to evaluate how accurately the model forecasts future prices. Given the volatile nature of financial data, models with a lower RMSE provide better risk assessments and more reliable investment insights.

In credit scoring, RMSE helps assess models that predict borrower default probabilities. A lower RMSE ensures financial institutions make better lending decisions, minimizing potential losses.

Healthcare

RMSE is crucial in healthcare models that predict patient outcomes, disease risks, or treatment effectiveness. For example, diagnostic models that forecast the likelihood of heart disease or diabetes use RMSE to evaluate prediction accuracy. A lower RMSE indicates a more precise model, helping healthcare professionals make informed decisions for timely interventions.

In personalized medicine, RMSE is applied to predict optimal drug dosages or treatment plans based on patient data, ensuring accurate and effective care.

E-commerce

E-commerce platforms rely on recommendation engines to enhance customer experience. RMSE is used to evaluate how well these systems predict user preferences. By lowering RMSE, recommendation engines improve the relevance of suggested products, boosting customer engagement and sales.

For example, an e-commerce model predicting which items a customer might purchase next can use RMSE to assess its recommendation accuracy. A lower RMSE indicates the system is effectively predicting customer preferences, improving user satisfaction.

Conclusion

Root Mean Square Error (RMSE) is a powerful tool for assessing model performance, especially in regression tasks where minimizing significant errors is crucial. By understanding its calculation, interpreting results appropriately, and applying strategies to reduce RMSE, data scientists and industry professionals can build more accurate predictive models.

Incorporating RMSE with complementary metrics like MAE and R² ensures a balanced evaluation, ultimately enhancing decision-making across industries. By leveraging these insights, you can achieve optimal model accuracy and unlock the true potential of your predictive systems.

Vision AI Platform for Industry

Our latest blogs

Insights and perspectives from Ripik.ai's thought leaders

AI Agents in Action

Meet the rest of our AI Agents

A powerful suite of intelligent agents working in sync to transform manufacturing with speed, precision, and autonomy.

Experience how Ripik Vision can leverage your business!

Empowering leading global enterprises through our exceptional platform​